The photos you provided may be used to improve Bing image processing services.
Privacy Policy
|
Terms of Use
Can't use this link. Check that your link starts with 'http://' or 'https://' to try again.
Unable to process this search. Please try a different image or keywords.
Try Visual Search
Search, identify objects and text, translate, or solve problems using an image
Drag one or more images here,
upload an image
or
open camera
Drop images here to start your search
To use Visual Search, enable the camera in this browser
All
Search
Images
Inspiration
Create
Collections
Videos
Maps
News
More
Shopping
Flights
Travel
Notebook
Top suggestions for Q Learning Algorithm Equation
Deep
Q Learning Algorithm
Qilearning
Algorithm
Q Learning Algorithm
Example
Q Learning
Simple Example
Q Learning Algorithm
Pseudocode
Q-learning Equation
RL Reinforcement
Learning
Learning Algorithms
Q Learning
Application
Q Learning Algorithm
Formula
Robot
Q-learning
Self-
Learning
Q Learning Algorithm
Flowchart
Q Table
Q-learning
Q Learning
Model
Q Learning Algorithm
Diagram
Algorithmic
Learning
Reinforcement Learning
Book
Deep Q-learning
Architecture
Q-learning
Algortihm
Q-learning
Implementation
Q-learning
Agent Algorithm
Q Learning
Method
Flowchart for Q Learning
Routing Algorithm in Python
Bellman
Equation Q-learning
Diagram Relevant to
Q Learning Algorithm
Q-learning
Alogorithm
Reinforcement Learning
Cheat Sheet
Q Learning Algorithm
in Ml Grid
Algorithm
Behind
Reinforcement Learning
Exploration Exploitation
Q Learning Algorithm
in Machine Learning
Q-learning
Lgorithm
Q Learning
Math Algorithm
Deep Q-learning
Neural Network
What Is
Q Learning Algorithm
Agent Environment Deep
Q-learning FEM Simulation
Independent
Q-learning
Sarsa Learning
Example
Q Learning Algorithm
Flow Chart.svg
Q Learning Algorithm
Example Solution
Deep Q-learning
(Dql) Model for Forex
Q-learning
State and Action
Reinforcement Learning
Explained Visually
Q-learning
Reinforcement Graph
Q-learning
Trajectory Scheme
Q Learning
Function in Machine Learning
Q Learning
Strategy
Block Diagram of
Q Learning
Deep Q-learning
Neural Net
Explore more searches like Q Learning Algorithm Equation
Testing
Machine
All
Machine
What Is
Machine
Processing
Machine
10
Machine
Images
for Core
Images for
Machine
Working
Machine
Machine
Deep
Supervised
Mind Map. Top
Machine
Examples
Machine
4 Types
Machine
Popular
Machine
Top 10
Machine
For
Beginners
Types
Reinforcement
Applications
List
Supervised
Instance
Based
Books
Machine
People interested in Q Learning Algorithm Equation also searched for
Order
All
Supervised
Components
Computing Theory
Fast
Using
Machine
Choice
Adalah
Human Body
Deep
Some Expert
System
Autoplay all GIFs
Change autoplay and other image settings here
Autoplay all GIFs
Flip the switch to turn them on
Autoplay GIFs
Image size
All
Small
Medium
Large
Extra large
At least... *
Customized Width
x
Customized Height
px
Please enter a number for Width and Height
Color
All
Color only
Black & white
Type
All
Photograph
Clipart
Line drawing
Animated GIF
Transparent
Layout
All
Square
Wide
Tall
People
All
Just faces
Head & shoulders
Date
All
Past 24 hours
Past week
Past month
Past year
License
All
All Creative Commons
Public domain
Free to share and use
Free to share and use commercially
Free to modify, share, and use
Free to modify, share, and use commercially
Learn more
Clear filters
SafeSearch:
Moderate
Strict
Moderate (default)
Off
Filter
Deep
Q Learning Algorithm
Qilearning
Algorithm
Q Learning Algorithm
Example
Q Learning
Simple Example
Q Learning Algorithm
Pseudocode
Q-learning Equation
RL Reinforcement
Learning
Learning Algorithms
Q Learning
Application
Q Learning Algorithm
Formula
Robot
Q-learning
Self-
Learning
Q Learning Algorithm
Flowchart
Q Table
Q-learning
Q Learning
Model
Q Learning Algorithm
Diagram
Algorithmic
Learning
Reinforcement Learning
Book
Deep Q-learning
Architecture
Q-learning
Algortihm
Q-learning
Implementation
Q-learning
Agent Algorithm
Q Learning
Method
Flowchart for Q Learning
Routing Algorithm in Python
Bellman
Equation Q-learning
Diagram Relevant to
Q Learning Algorithm
Q-learning
Alogorithm
Reinforcement Learning
Cheat Sheet
Q Learning Algorithm
in Ml Grid
Algorithm
Behind
Reinforcement Learning
Exploration Exploitation
Q Learning Algorithm
in Machine Learning
Q-learning
Lgorithm
Q Learning
Math Algorithm
Deep Q-learning
Neural Network
What Is
Q Learning Algorithm
Agent Environment Deep
Q-learning FEM Simulation
Independent
Q-learning
Sarsa Learning
Example
Q Learning Algorithm
Flow Chart.svg
Q Learning Algorithm
Example Solution
Deep Q-learning
(Dql) Model for Forex
Q-learning
State and Action
Reinforcement Learning
Explained Visually
Q-learning
Reinforcement Graph
Q-learning
Trajectory Scheme
Q Learning
Function in Machine Learning
Q Learning
Strategy
Block Diagram of
Q Learning
Deep Q-learning
Neural Net
850×127
researchgate.net
The Q-learning algorithm | Download Scientific Diagram
194×194
researchgate.net
The Q-learning algorithm | Downl…
320×320
researchgate.net
Q-Learning Algorithm overview | Download …
320×320
researchgate.net
The Q-learning Algorithm | Download …
Related Products
Reinforcement Learning Algorit…
Deep Q Network
Q-learning with Neural Networks
320×320
researchgate.net
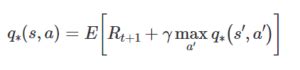
7: Bellman Equation of Q-Learning | Downlo…
850×173
researchgate.net
7: Bellman Equation of Q-Learning | Download Scientific Diagram
640×640
researchgate.net
7: Bellman Equation of Q-Learning | Downlo…
640×640
researchgate.net
7: Bellman Equation of Q-Learning | Downlo…
850×529
researchgate.net
Q-learning algorithm. | Download Scientific Diagram
850×851
researchgate.net
Q-learning algorithm flow chart | Download Scient…
850×632
researchgate.net
Flowchart of the Q-learning algorithm | Download Scientific Di…
608×363
researchgate.net
Illustration of Q-learning-based algorithm. | Download Scientific Diagram
344×344
researchgate.net
Principle diagram of Q-learning algorithm. | Do…
670×836
researchgate.net
Flowchart of the implemented q-le…
Explore more searches like
Q
Learning Algorithm
Equation
Testing Machine
All Machine
What Is Machine
Processing Machine
10 Machine
Images for Core
Images for Machine
Working Machine
Machine
Deep
Supervised
Mind Map. Top Machine
850×1644
researchgate.net
The proposed Q-learning algorit…
320×320
researchgate.net
Overview of Q-learning algorithm. | Download Sci…
850×417
researchgate.net
Q-learning algorithm for Reinforcement Learning problems. | Download Scientific Diagram
850×378
researchgate.net
Diagram of the Q-learning algorithm | Download Scientific Diagram
590×302
livebook.manning.com
liveBook · Manning
642×246
community.deeplearning.ai
How does the Q-Learning Algorithm actually learn? - Unsupervised Learning, Recommenders ...
389×101
towardsdatascience.com
Q-Learning Algorithm: From Explanation to Implementation | Towards Data Science
1400×644
towardsdatascience.com
Q-Learning Algorithm: From Explanation to Implementation | Towards Data Science
300×65
towardsdatascience.com
Q-Learning Algorithm: From Explanation to Implementation | Towards Data Science
300×70
towardsdatascience.com
Q-Learning Algorithm: From Explanation to Implementation | Towards Data Science
713×876
researchgate.net
The Q-learning algorithm, repres…
850×746
researchgate.net
Basic procedure of the Q-learning algorithm …
517×66
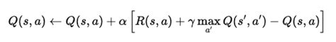
datacamp.com
Understanding the Bellman Equation in Reinforcement Learning | DataCamp
1798×962
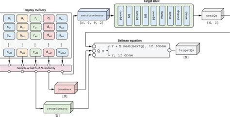
www.reddit.com
Q learning on a grid world - Bellman equation visualization [Link in commen…
3611×806
randomant.net
The Algorithm Behind the Curtain: Understanding How Machines Learn wit…
People interested in
Q
Learning Algorithm
Equation
also searched for
Order
All Supervised
Components
Computing Theory Fast
Using Machine
Choice
Adalah
Human Body Deep
Some Expert System
3611×1667
randomant.net
The Algorithm Behind the Curtain: Understanding How Machines Learn with Q-Learning (3 of 5 ...
734×525
www.tutorialspoint.com
Q-Learning
850×1100
deepai.org
Model-Free Characterization…
1206×750
Stack Overflow
How to understand Watkins's Q(λ) learning algorithm in Sutton&Barto's RL book? - Sta…
1024×1024
medium.com
The Mathematics Behind Q-Learning: Bellman Equati…
1200×509
medium.com
How does Bellman equation in Q-learning find the shortest route? | by Minki Jung | Medium
Some results have been hidden because they may be inaccessible to you.
Show inaccessible results
Report an inappropriate content
Please select one of the options below.
Not Relevant
Offensive
Adult
Child Sexual Abuse
Feedback